很可惜 T 。T 您现在还不是作者身份,不能自主发稿哦~
如有投稿需求,请把文章发送到邮箱tougao@appcpx.com,一经录用会有专人和您联系
咨询如何成为春羽作者请联系:鸟哥笔记小羽毛(ngbjxym)
自2015年9月上线以来,拼多多在短短几年内跻身电商行业巨头行列,日订单量成为仅次淘宝的第二大电商,其中拼团发挥了很重要的作用。拼团作为一种很好的营销方式和商业手段,在电商、商品和服务等消费场景得到了广泛应用,也受到了众多商家和用户的青睐。
「促销」和「社交」是拼团业务的核心和关键。拼团活动通常由团长发起开团,通过渠道分享后团员进行参团,组团成功后,团长和团员都可以以较低的价格获得拼团的产品,对商家而言可以进行拉新、促活、增加现金类等。
拼团是团购的一种,需要基于一定的社交关系才能完成的团购,有优势的同时也有劣势。
1、优势
(1)对商家而言
通过一定的让利,可获得用户、促活、提高销售额、增加现金流;进行产品宣传、品牌宣传等。
(2)对用户而言
较低的价格获得需要原价才能买到的产品,用户体验较好。
2、劣势
(1)拼团本质是一种营销活动,用户很难通过这种方式形成习惯去购买产品。
(2)拼团是基于强社交关系进行的活动,可能存在分享拼团后但好友无人参团情况发生,对个人社交关系的维系产品不利影响。
(3)基于强社交,但也要基于强需求,只有满足用户需求的东西用户才会进行付费,拼团对于商品品类有一定的不利,消费频次较高、需求量较大的日常消耗品类的产品可能更适合拼团。
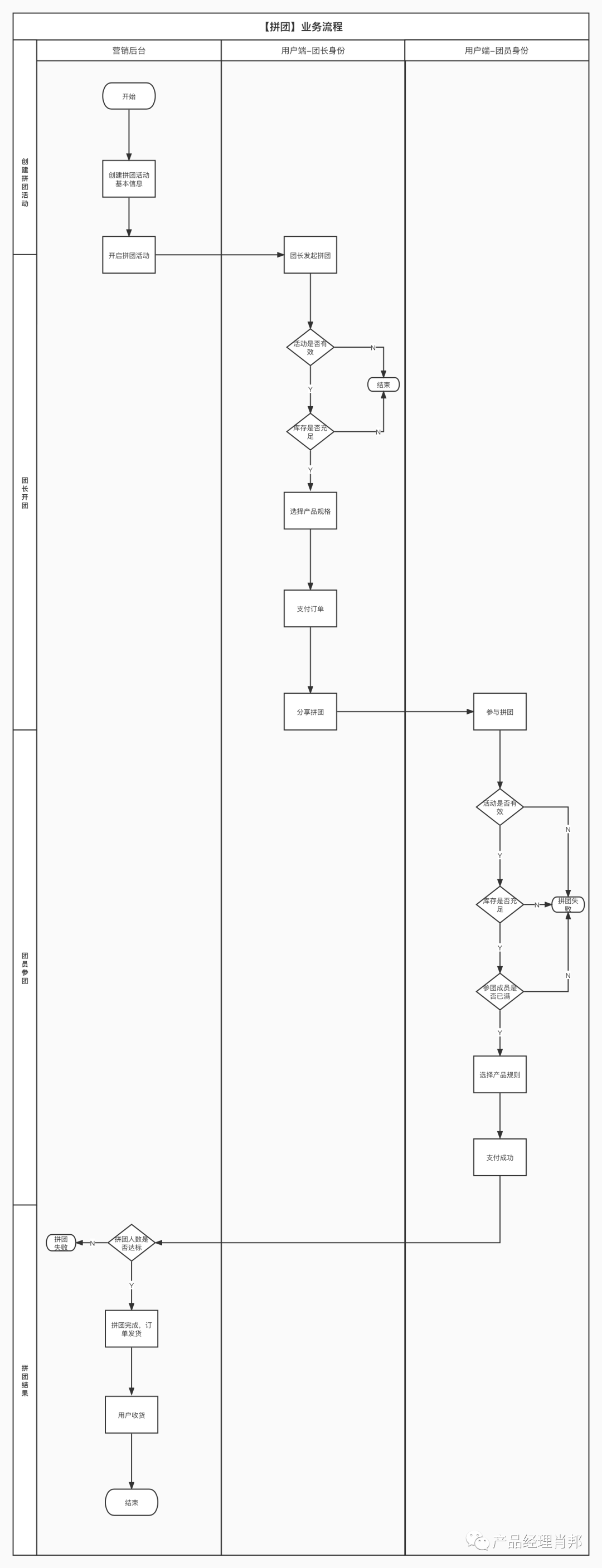
拼团的业务流程基本包含以下4个阶段:
1、创建拼团活动
2、团长开团
3、团员参团
4、拼团成功/失败

一、创建拼团活动
在营销或管理后台创建拼团活动,通过可以按以下进行分类:
1、基本信息
主要包括拼团活动名称、拼团产品、客户范围(新客、老客或不限制)等。
2、销售设置
销售设置主要包括:
(1)阶梯拼团价格:团长和团员通常设置为不同的价格。
(2)销售库存:为合理控制成本可设置库存限制。
(3)单人限购数量:为合理控制成本可设置单人限购数量,
(4)拼团有效期:为制造拼团成功的时间感,拼团有效期通常不会设置的太长时间,注意和活动有效期的区别。(拼团有效期以团长支付成功后开始倒数计时。)
(5)活动有效期:拼团活动的有效期,不在活动有效期的活动不允许参与。
(6)活动上架日期:拼团活动的上架售卖日期范围,上架日期前不可参与购买。
(7)开售时间:不在开售时间的活动不允许参与。
(8)活动门店:可限制参与活动的门店。

3、用券设置
限制拼团活动是否可使用优惠券,可使用的情况可选择特定的使用优惠券。

4、高级设置
高级设置主要包括:
(1)凑团:开启后在可活动详情中选择需要的用户开团进行参团。
(2)模拟成团:商家为了现金流一般会设置模拟成团,对用户而言也有较好的体验。即使活动结束后未拼团的订单,系统会自动凑足虚拟买家强制成团。
(3)团长奖励:商家为了激发团长的分享欲望,通常会给予团长一定的奖励,比如:成团后免单、成团后返现、成团后赠送商品等。
(4)预设活动销量:在活动阶段为了展示活动的虚假繁荣和激发用户的购买欲,商家会预设一定的虚假活动销量。
二、团长开团
1、开团
前文提到,商家为了激发团长的分享欲望,通常会给与开团的人一定的好处,例如团长价和团长奖励等。开团时会校验活动信息、客户信息、产品信息,如:是否在活动有效期、是否在售、是否上架、是否限制客户类型、库存是否充足等。
2、推送消息:
团长开团后可进行分享,分享后团长需要了解拼团进度信息,开团进度需要即时推送团长,如:拼团成功、拼团失败、待成团(可能存在拼团成功后,团员取消订单的场景,这时需要再次提醒团长进行分享活动信息)等关键拼团信息。

3、退款问题
对于一般的拼团活动(无团长场景,如:拼多多的拼团),可以直接退单退款。但团长开团后,一般不允许直接退款,除非是手动强制模拟成团后才可进行退款操作,退款后资金原路返回到付款账户。。
三、团员参团
1、参团
参团以团员价进行参团,参团时同团长开团逻辑一致,会校验活动信息、客户信息、产品信息。
2、推送消息:
同团长一样,团员也需要了解拼团进度信息,开团进度需要即时推送团员,
3、退款问题
团员可以直接取消订单退款,退款后资金原路返回到付款账户。
四、拼团成功/失败
1、拼团成功
拼团成功一般有2种情况:1、正常的团员参与拼团成功;2、系统虚拟的自动凑团成功。2种方式的差异用户基本无感知。
2、拼团失败
活动结束后拼团失败的自动取消订单并做退款处理。
五、拼团活动的常见问题
1、拼团失败的处理方案
商家为了保证活动的销量和现金流,对于一些可能拼团失败的活动有希望成功的需求。
系统可通过「系统模拟成团」的方式处理这种问题:可设定即将拼团结束的特定时间,系统可做自动拼团成功处理,从而满足商家拼团成功的需求,用户也并无感知。
2、产品库存的处理方案
产品库存的处理方案一般有2种:1、下单成功后减库存;2、拼团成功后减库存。
拼团属于营销活动的一种,通过拼团活动的库存会从产品总库存中单独留出一部分,作为活动的库存;活动结束后,剩余库存将返回至总库存。
(1)下单成功后减库存
不管对于团长还是团员而言,下单后(支付成功后)即减去库存,取消订单后增加库存,对用户而言体验较好;对商家而言,对于这种方式可能存在拼团未成功,批量团款造成库存堆积的风险。
举个例子:AAA商品活动库存1000,开团为10人团,团数量共计100个;最终500人参团,但成功团数量20个团,也就是200人,发货200件,剩余300人做退款处理,造成库存的浪费。
(2)拼团成功后减库存
整个团拼团成功后做最后的库存扣除。为了避免超卖的情况,需要在团长开团或团员参团时就进行活动库存校验,库存不足的情况下,不允许进行开团或参团,从而避免超卖的现象。
举个例子:AAA商品活动库存100,开团为10人团,团数量共计100个;最终500人参团,但成功团数量20个团,也就是200人,只发货100人的库存,剩下100人订单做退款处理。
商家可根据自身的情况合理选择库存方案,现有的电商平台一般采用第二种方案。为避免超卖,可预留一定的库存进行预防。
3、团长的奖励
对于私域来说,拼团活动中的团长发挥着至关重要的作用,非常有必要对团长进行奖励:如返现、实物、积分、甚至是免单等,需要商家根据需要灵活配置。
拼团作为一种营销获客、达成交易的工具,模式已经日益成熟,也受到了用户和商家的喜爱。「促销」和「社交」作为拼团业务的核心和关键,商家做活动时需要突出促销和社交的属性,激发用户的购买和分享欲望。
本文为作者独立观点,不代表鸟哥笔记立场,未经允许不得转载。
《鸟哥笔记版权及免责申明》 如对文章、图片、字体等版权有疑问,请点击 反馈举报
Powered by QINGMOB PTE. LTD. © 2010-2025 上海青墨信息科技有限公司 沪ICP备2021034055号-6

我们致力于提供一个高质量内容的交流平台。为落实国家互联网信息办公室“依法管网、依法办网、依法上网”的要求,为完善跟帖评论自律管理,为了保护用户创造的内容、维护开放、真实、专业的平台氛围,我们团队将依据本公约中的条款对注册用户和发布在本平台的内容进行管理。平台鼓励用户创作、发布优质内容,同时也将采取必要措施管理违法、侵权或有其他不良影响的网络信息。
一、根据《网络信息内容生态治理规定》《中华人民共和国未成年人保护法》等法律法规,对以下违法、不良信息或存在危害的行为进行处理。
1. 违反法律法规的信息,主要表现为:
1)反对宪法所确定的基本原则;
2)危害国家安全,泄露国家秘密,颠覆国家政权,破坏国家统一,损害国家荣誉和利益;
3)侮辱、滥用英烈形象,歪曲、丑化、亵渎、否定英雄烈士事迹和精神,以侮辱、诽谤或者其他方式侵害英雄烈士的姓名、肖像、名誉、荣誉;
4)宣扬恐怖主义、极端主义或者煽动实施恐怖活动、极端主义活动;
5)煽动民族仇恨、民族歧视,破坏民族团结;
6)破坏国家宗教政策,宣扬邪教和封建迷信;
7)散布谣言,扰乱社会秩序,破坏社会稳定;
8)宣扬淫秽、色情、赌博、暴力、凶杀、恐怖或者教唆犯罪;
9)煽动非法集会、结社、游行、示威、聚众扰乱社会秩序;
10)侮辱或者诽谤他人,侵害他人名誉、隐私和其他合法权益;
11)通过网络以文字、图片、音视频等形式,对未成年人实施侮辱、诽谤、威胁或者恶意损害未成年人形象进行网络欺凌的;
12)危害未成年人身心健康的;
13)含有法律、行政法规禁止的其他内容;
2. 不友善:不尊重用户及其所贡献内容的信息或行为。主要表现为:
1)轻蔑:贬低、轻视他人及其劳动成果;
2)诽谤:捏造、散布虚假事实,损害他人名誉;
3)嘲讽:以比喻、夸张、侮辱性的手法对他人或其行为进行揭露或描述,以此来激怒他人;
4)挑衅:以不友好的方式激怒他人,意图使对方对自己的言论作出回应,蓄意制造事端;
5)羞辱:贬低他人的能力、行为、生理或身份特征,让对方难堪;
6)谩骂:以不文明的语言对他人进行负面评价;
7)歧视:煽动人群歧视、地域歧视等,针对他人的民族、种族、宗教、性取向、性别、年龄、地域、生理特征等身份或者归类的攻击;
8)威胁:许诺以不良的后果来迫使他人服从自己的意志;
3. 发布垃圾广告信息:以推广曝光为目的,发布影响用户体验、扰乱本网站秩序的内容,或进行相关行为。主要表现为:
1)多次发布包含售卖产品、提供服务、宣传推广内容的垃圾广告。包括但不限于以下几种形式:
2)单个帐号多次发布包含垃圾广告的内容;
3)多个广告帐号互相配合发布、传播包含垃圾广告的内容;
4)多次发布包含欺骗性外链的内容,如未注明的淘宝客链接、跳转网站等,诱骗用户点击链接
5)发布大量包含推广链接、产品、品牌等内容获取搜索引擎中的不正当曝光;
6)购买或出售帐号之间虚假地互动,发布干扰网站秩序的推广内容及相关交易。
7)发布包含欺骗性的恶意营销内容,如通过伪造经历、冒充他人等方式进行恶意营销;
8)使用特殊符号、图片等方式规避垃圾广告内容审核的广告内容。
4. 色情低俗信息,主要表现为:
1)包含自己或他人性经验的细节描述或露骨的感受描述;
2)涉及色情段子、两性笑话的低俗内容;
3)配图、头图中包含庸俗或挑逗性图片的内容;
4)带有性暗示、性挑逗等易使人产生性联想;
5)展现血腥、惊悚、残忍等致人身心不适;
6)炒作绯闻、丑闻、劣迹等;
7)宣扬低俗、庸俗、媚俗内容。
5. 不实信息,主要表现为:
1)可能存在事实性错误或者造谣等内容;
2)存在事实夸大、伪造虚假经历等误导他人的内容;
3)伪造身份、冒充他人,通过头像、用户名等个人信息暗示自己具有特定身份,或与特定机构或个人存在关联。
6. 传播封建迷信,主要表现为:
1)找人算命、测字、占卜、解梦、化解厄运、使用迷信方式治病;
2)求推荐算命看相大师;
3)针对具体风水等问题进行求助或咨询;
4)问自己或他人的八字、六爻、星盘、手相、面相、五行缺失,包括通过占卜方法问婚姻、前程、运势,东西宠物丢了能不能找回、取名改名等;
7. 文章标题党,主要表现为:
1)以各种夸张、猎奇、不合常理的表现手法等行为来诱导用户;
2)内容与标题之间存在严重不实或者原意扭曲;
3)使用夸张标题,内容与标题严重不符的。
8.「饭圈」乱象行为,主要表现为:
1)诱导未成年人应援集资、高额消费、投票打榜
2)粉丝互撕谩骂、拉踩引战、造谣攻击、人肉搜索、侵犯隐私
3)鼓动「饭圈」粉丝攀比炫富、奢靡享乐等行为
4)以号召粉丝、雇用网络水军、「养号」形式刷量控评等行为
5)通过「蹭热点」、制造话题等形式干扰舆论,影响传播秩序
9. 其他危害行为或内容,主要表现为:
1)可能引发未成年人模仿不安全行为和违反社会公德行为、诱导未成年人不良嗜好影响未成年人身心健康的;
2)不当评述自然灾害、重大事故等灾难的;
3)美化、粉饰侵略战争行为的;
4)法律、行政法规禁止,或可能对网络生态造成不良影响的其他内容。
二、违规处罚
本网站通过主动发现和接受用户举报两种方式收集违规行为信息。所有有意的降低内容质量、伤害平台氛围及欺凌未成年人或危害未成年人身心健康的行为都是不能容忍的。
当一个用户发布违规内容时,本网站将依据相关用户违规情节严重程度,对帐号进行禁言 1 天、7 天、15 天直至永久禁言或封停账号的处罚。当涉及欺凌未成年人、危害未成年人身心健康、通过作弊手段注册、使用帐号,或者滥用多个帐号发布违规内容时,本网站将加重处罚。
三、申诉
随着平台管理经验的不断丰富,本网站出于维护本网站氛围和秩序的目的,将不断完善本公约。
如果本网站用户对本网站基于本公约规定做出的处理有异议,可以通过「建议反馈」功能向本网站进行反馈。
(规则的最终解释权归属本网站所有)