很可惜 T 。T 您现在还不是作者身份,不能自主发稿哦~
如有投稿需求,请把文章发送到邮箱tougao@appcpx.com,一经录用会有专人和您联系
咨询如何成为春羽作者请联系:鸟哥笔记小羽毛(ngbjxym)
流量分散,渠道多元
想要获取流量,还真就得了解各个主流平台的流量算法
今天就来给大家分享一下四大主流平台抖音、小红书、知乎、视频号的流量算法底层逻辑
抖音的流量算法几乎是所有流量平台中最为复杂的,当然也是流量最大的
抖音是典型的“标签”对“标签”的平台
如果你是用户,平台会根据你平时的浏览喜好把你的关注点拆解成大约150个标签,你能刷到哪些视频一定程度上是你的用户标签决定的。如果浏览喜好发生变化,用户标签也会随之变化,刷到的视频也会跟着标签而变化
如果你是创作者,平台会根据你发布的内容形成创作者标签,标签数量同样是150个,如果发布内容产生变化,创作者标签也会随之变化
创作者发布视频后,视频会根据创作者标签匹配相似的用户标签,这就是上面我们讲过的“标签”对“标签”的流量算法
短视频匹配到用户后,会通过该视频的数据表现来衡量该视频是否值得进一步的推荐
抖音对单个视频的推荐,会考核5个关键数据
1)完播率
完播率=观看时间/作品时间
完播率越高,说明作品越吸引人观看,大盘的合格线通常是15%-20%左右,40%-50%以上的完播率就已经很优秀了。要想办法做高完播率,通常的方式是开头设置悬念或者引导打开评论区,拉长观看时间
如果是新号的话,建议前期视频时长不要太长,时长越长,完播越低,除非视频质量极佳
2)点赞率
点赞率=点赞量/播放量
点赞量越高,推荐量才会越高,第一波推荐的点赞率至少要达到3%-5%
也就是说每100个播放量,至少要有3-5个点赞
3)留言率
留言率=留言量/播放量
留言率的数据高低跟视频类型有很大关系,不好用平均数据去衡量,但确定的是留言率表现越好,加权推荐就越高。所以,创作者可以主动在视频中或者文案、评论区引导评论,提升留言率
4)转发率
转发率=转发量/播放量
转发率对于还在初级流量池流传的视频影响并不大,但想要突破流量层级,转发率就是很关键的指标
5)转粉率
转粉率=关注量/播放量
也就是路转粉的比例,单条视频带来的新增粉丝率,同样是冲击高级流量池的关键数据
抖音平台是一个巨大的流量池,抖音推荐机制是一个渔网,视频内容是鱼饵
如果你的视频的五个关键数据都能取得较好的数据表现,那么进入到中高级的流量池继续流转的可能性非常大
抖音的流量池有也有它的法则
视频发布后会进入冷启动池,流量通常是是300-500,一般是由粉丝+朋友+可能认识的人+少量标签匹配的用户构成,因为冷启动池的流量构成最为复杂,也是最难突破的流量池,这就要考验,你的粉丝是否精准,内容是够优质,如果关键数据达标会进入到初级流量池
初级流量池的流量大约在1000-5000左右,同样需要继续观察视频在初级流量池的变现,如果数据继续过关,将进入中级流量池
中级流量池就有10000以上的播放量,同理看数据表现;
高级流量池就有十万+以上的播放量了,上不封顶

小红书的算法和抖音类似,也是“标签”对“标签”的流量算法

不同的是,基于不同的用户习惯,抖音更侧重主动推荐,小红书更侧重搜索推荐
基于小红书的平台定位,超过65%的流量来源于搜索,所以在搜索流量算法上更精细一些,所以这里侧重讲一下搜索流量算法的逻辑
搜索结果与需求的匹配主要是核心关键词与query的匹配度,搜索结果中展示的具体内容是通过分析用户需求,找到最能命中用户需求的信息
一篇笔记标题中的关键词可谓是重中之重,官方也明确提示:“填写标题会有更多赞哦”
由此可见,标题是小红书官方用来识别内容属性的重要选项,想要让笔记获得更多的展现,最基础的工作就是要做好标题的优化
我们要善用搜索的关键词、热词推荐等来帮助我们找到笔记核心词,以便能让系统识别并推荐给对应用户
从推荐内容找核心词
推荐内容包括几个方面,搜索框置灰关键词,页面显示的历史搜索,热搜词
1)默认提示词
点开搜索还未输入搜索词之前,平台会根据用户标签推荐默认提示词,默认提示词中存在一定量的搜索流量
2)搜索发现(热门搜索)
热门搜索把最近一段时间被搜索次数最多的词展示出来,去引导用户看一些最近热门的内容和用户搜索量大的话题推荐,跟用户的搜素量和近期的热门话题相关
3)补充联想关键词
补充联想关键词,即用户输入部分内容,然后系统根据这些内容联想出完整内容,自动补全关键词,通过即时匹配关键词并展示出来,增加用户的选择。我搜了显瘦,平台就给我推荐了关于显瘦的几个关键词推荐
考虑热词排序是综合展示的结果。除了笔记数外,“热词” 的热度排序可能还牵涉到两个方面的因素:用户主动搜索的频率,以及笔记本身被系统推荐的热度
搜索之后,系统根据搜索词进行算法匹配,把所有结果都展示出来。而如果这个关键词是相关品类中范围比较大的词汇,那么就能看到在界面上半部分有一些专门的标签词汇提供分类筛选的功能。这种方式对于用户无目的搜索的体验会更好。同时将最热门的笔记排在前面,这种搜索结果的展示形式以及筛选条件,目的都是为了缩小选择范围,帮助用户快速选择
关于关键词的选择有以下几点值得注意:
1)小红书的热搜推荐是平台短期流量内容的标识;搜索提示关键词、筛选热门是长期流量所在,来源于小红书真实的用户数据分析和总结
2)一定要优先选择竞争度小流量大且比较精准的关键词,避免选择宽泛的关键词
3)学会反推关键词。确定笔记主题及关键词后,要去反推希望用户用什么关键词能搜到自己的笔记,考虑如果自己去搜这类笔记会用哪些常见关键词去搜。
4)在笔记标题、正文、话题、评论等位置合理的布局关键词,有助于笔记被收录及精准推荐。避免堆砌关键词,堆砌关键词会被系统判定为广告,长期这样操作,账号会被系统降权
首先是针对搜索流量,知乎的搜索排名其实跟搜索引擎是有类似的,内容需要先进行收录,然后才能提升搜索词排名
一方面需要看内容和搜索关键词的匹配度,匹配度越高,收录的概率也就越大;另一方面,优质账号的权重更高,能够获得的搜索词排名也会更高;最后,内容的热度也会影响搜索排名,总之越热门的内容排名会更加靠前
当然,搜索还涉及到问题下回答的排名,一般来说,搜索词收录该问题后,会抓取问题下其中一条高赞的回答展现,除此之外,因为用户的习惯一般会参考不止一条回答,那么该问题下自然排序第一的回答,也有更大的曝光概率
所以,如果能够实现搜索词+问题下的排名都非常靠前,那么流量自然就会更好;如果不能实现两者均很靠前,那么起码要实现有一条在靠前的位置。
第二是针对推荐流量,推荐流量是通过知乎的推荐算法,然后将内容推送给用户
一般来说,推荐算法会先将内容推送给一小部分人,然后收集反馈数据,如阅读完成率、赞同率、互动数据等,来判断这条内容是否值得持续推荐
第三是针对热榜流量,热榜是知乎的全站实时热门内容合集,其维度主要是看24小时的浏览量、互动量和领域权重来计算
想要内容上热榜,那就必须要在短时间内有大量的领域内用户参与互动,形成不错的声量后,内容自然热度就提升上去了
当然,针对视频类内容,其分发机制跟推荐类似,而且有单独的榜单支撑,参考即可
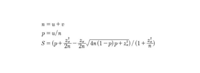
第四是综合算法,和头条、抖音等平台不同的是,知乎采用的是威尔逊算法,即根据内容的点赞、反对、收藏等数据,按照威尔逊公式来决定内容的推荐和排名

u代表内容的赞同数,v代表内容的反对数,p则代表内容的赞同率=赞同数/(赞同+反对),而Z则是与权重相关的数字
算法公式虽然很复杂,但大家只需要记住最核心的一点:赞同率比赞同数重要,反对率比赞同率重要
和其他内容平台不相同的是,除了点赞和互动,知乎用户还可以给不同意的内容点反对票,而反对票数一定程度上将会影响回答排名
微信视频号和其他流量平台的算法完全不同,视频号的分发机制是基于社交推荐和个性化推荐
1)社交推荐
社交是微信生态的先天基因,所以对于微信视频号来讲,社交关系链同样非常重要,比如你的好友发布和点赞的内容,会优先推荐。一个作品,你的好友点赞收藏互动多的话,你的阅读量曝光量就会上升,相反,如果非好友进行点赞收藏的话,对于你作品的曝光低于好友点赞收藏
所以,你微信好友的点赞收藏互动对于作品提升权重有很大的影响
其实这个就跟公众号的“在看”和“点赞“的逻辑相似,比如你给某个文章(视频)点了“在看”,你好友将会在微信“看一看”刷到这个文章(视频),你好友点赞了,他的好友也可能会刷到这个作品,以此类推
2)个性化推荐
指的是系统会根据用户的日常行为、活动轨迹和兴趣、职业、年龄等标签,通过一系列大数据算法,推测出用户可能喜欢的内容。因为微信本身就拥有11亿的超级用户画像和各种算法机制作为参考
不过目前由于微信视频号尚处于热启动阶段,目前数据库并不全面,采用的数据源都是从微信大盘抓取,算法基本会采用兴趣标签+定位+热点+随机推荐
所以无论是发视频还是发图片,添加话题和定位更有助于个性化推荐。这一点跟抖音的推荐算法有点相似,只不过目前还不够成熟
3)去中心化的推荐算法
视频号虽然是基于社交推荐,但每个人的社交关系链毕竟有限,当一个作品已经在完整的社交关系链获得了展现且取得了较好的数据表现后,视频号会进行社交关系链以外的扩大推荐,逻辑类似于抖音的“标签”对“标签”,这里不做过多延展
以上就是抖音、小红书、知乎、视频号的流量算法,相信大家仔细阅读后会对四大平台有新的了解和认识,如果还有不明白需要交流的地方欢迎来找我交流。
本文为作者独立观点,不代表鸟哥笔记立场,未经允许不得转载。
《鸟哥笔记版权及免责申明》 如对文章、图片、字体等版权有疑问,请点击 反馈举报
Powered by QINGMOB PTE. LTD. © 2010-2025 上海青墨信息科技有限公司 沪ICP备2021034055号-6

我们致力于提供一个高质量内容的交流平台。为落实国家互联网信息办公室“依法管网、依法办网、依法上网”的要求,为完善跟帖评论自律管理,为了保护用户创造的内容、维护开放、真实、专业的平台氛围,我们团队将依据本公约中的条款对注册用户和发布在本平台的内容进行管理。平台鼓励用户创作、发布优质内容,同时也将采取必要措施管理违法、侵权或有其他不良影响的网络信息。
一、根据《网络信息内容生态治理规定》《中华人民共和国未成年人保护法》等法律法规,对以下违法、不良信息或存在危害的行为进行处理。
1. 违反法律法规的信息,主要表现为:
1)反对宪法所确定的基本原则;
2)危害国家安全,泄露国家秘密,颠覆国家政权,破坏国家统一,损害国家荣誉和利益;
3)侮辱、滥用英烈形象,歪曲、丑化、亵渎、否定英雄烈士事迹和精神,以侮辱、诽谤或者其他方式侵害英雄烈士的姓名、肖像、名誉、荣誉;
4)宣扬恐怖主义、极端主义或者煽动实施恐怖活动、极端主义活动;
5)煽动民族仇恨、民族歧视,破坏民族团结;
6)破坏国家宗教政策,宣扬邪教和封建迷信;
7)散布谣言,扰乱社会秩序,破坏社会稳定;
8)宣扬淫秽、色情、赌博、暴力、凶杀、恐怖或者教唆犯罪;
9)煽动非法集会、结社、游行、示威、聚众扰乱社会秩序;
10)侮辱或者诽谤他人,侵害他人名誉、隐私和其他合法权益;
11)通过网络以文字、图片、音视频等形式,对未成年人实施侮辱、诽谤、威胁或者恶意损害未成年人形象进行网络欺凌的;
12)危害未成年人身心健康的;
13)含有法律、行政法规禁止的其他内容;
2. 不友善:不尊重用户及其所贡献内容的信息或行为。主要表现为:
1)轻蔑:贬低、轻视他人及其劳动成果;
2)诽谤:捏造、散布虚假事实,损害他人名誉;
3)嘲讽:以比喻、夸张、侮辱性的手法对他人或其行为进行揭露或描述,以此来激怒他人;
4)挑衅:以不友好的方式激怒他人,意图使对方对自己的言论作出回应,蓄意制造事端;
5)羞辱:贬低他人的能力、行为、生理或身份特征,让对方难堪;
6)谩骂:以不文明的语言对他人进行负面评价;
7)歧视:煽动人群歧视、地域歧视等,针对他人的民族、种族、宗教、性取向、性别、年龄、地域、生理特征等身份或者归类的攻击;
8)威胁:许诺以不良的后果来迫使他人服从自己的意志;
3. 发布垃圾广告信息:以推广曝光为目的,发布影响用户体验、扰乱本网站秩序的内容,或进行相关行为。主要表现为:
1)多次发布包含售卖产品、提供服务、宣传推广内容的垃圾广告。包括但不限于以下几种形式:
2)单个帐号多次发布包含垃圾广告的内容;
3)多个广告帐号互相配合发布、传播包含垃圾广告的内容;
4)多次发布包含欺骗性外链的内容,如未注明的淘宝客链接、跳转网站等,诱骗用户点击链接
5)发布大量包含推广链接、产品、品牌等内容获取搜索引擎中的不正当曝光;
6)购买或出售帐号之间虚假地互动,发布干扰网站秩序的推广内容及相关交易。
7)发布包含欺骗性的恶意营销内容,如通过伪造经历、冒充他人等方式进行恶意营销;
8)使用特殊符号、图片等方式规避垃圾广告内容审核的广告内容。
4. 色情低俗信息,主要表现为:
1)包含自己或他人性经验的细节描述或露骨的感受描述;
2)涉及色情段子、两性笑话的低俗内容;
3)配图、头图中包含庸俗或挑逗性图片的内容;
4)带有性暗示、性挑逗等易使人产生性联想;
5)展现血腥、惊悚、残忍等致人身心不适;
6)炒作绯闻、丑闻、劣迹等;
7)宣扬低俗、庸俗、媚俗内容。
5. 不实信息,主要表现为:
1)可能存在事实性错误或者造谣等内容;
2)存在事实夸大、伪造虚假经历等误导他人的内容;
3)伪造身份、冒充他人,通过头像、用户名等个人信息暗示自己具有特定身份,或与特定机构或个人存在关联。
6. 传播封建迷信,主要表现为:
1)找人算命、测字、占卜、解梦、化解厄运、使用迷信方式治病;
2)求推荐算命看相大师;
3)针对具体风水等问题进行求助或咨询;
4)问自己或他人的八字、六爻、星盘、手相、面相、五行缺失,包括通过占卜方法问婚姻、前程、运势,东西宠物丢了能不能找回、取名改名等;
7. 文章标题党,主要表现为:
1)以各种夸张、猎奇、不合常理的表现手法等行为来诱导用户;
2)内容与标题之间存在严重不实或者原意扭曲;
3)使用夸张标题,内容与标题严重不符的。
8.「饭圈」乱象行为,主要表现为:
1)诱导未成年人应援集资、高额消费、投票打榜
2)粉丝互撕谩骂、拉踩引战、造谣攻击、人肉搜索、侵犯隐私
3)鼓动「饭圈」粉丝攀比炫富、奢靡享乐等行为
4)以号召粉丝、雇用网络水军、「养号」形式刷量控评等行为
5)通过「蹭热点」、制造话题等形式干扰舆论,影响传播秩序
9. 其他危害行为或内容,主要表现为:
1)可能引发未成年人模仿不安全行为和违反社会公德行为、诱导未成年人不良嗜好影响未成年人身心健康的;
2)不当评述自然灾害、重大事故等灾难的;
3)美化、粉饰侵略战争行为的;
4)法律、行政法规禁止,或可能对网络生态造成不良影响的其他内容。
二、违规处罚
本网站通过主动发现和接受用户举报两种方式收集违规行为信息。所有有意的降低内容质量、伤害平台氛围及欺凌未成年人或危害未成年人身心健康的行为都是不能容忍的。
当一个用户发布违规内容时,本网站将依据相关用户违规情节严重程度,对帐号进行禁言 1 天、7 天、15 天直至永久禁言或封停账号的处罚。当涉及欺凌未成年人、危害未成年人身心健康、通过作弊手段注册、使用帐号,或者滥用多个帐号发布违规内容时,本网站将加重处罚。
三、申诉
随着平台管理经验的不断丰富,本网站出于维护本网站氛围和秩序的目的,将不断完善本公约。
如果本网站用户对本网站基于本公约规定做出的处理有异议,可以通过「建议反馈」功能向本网站进行反馈。
(规则的最终解释权归属本网站所有)